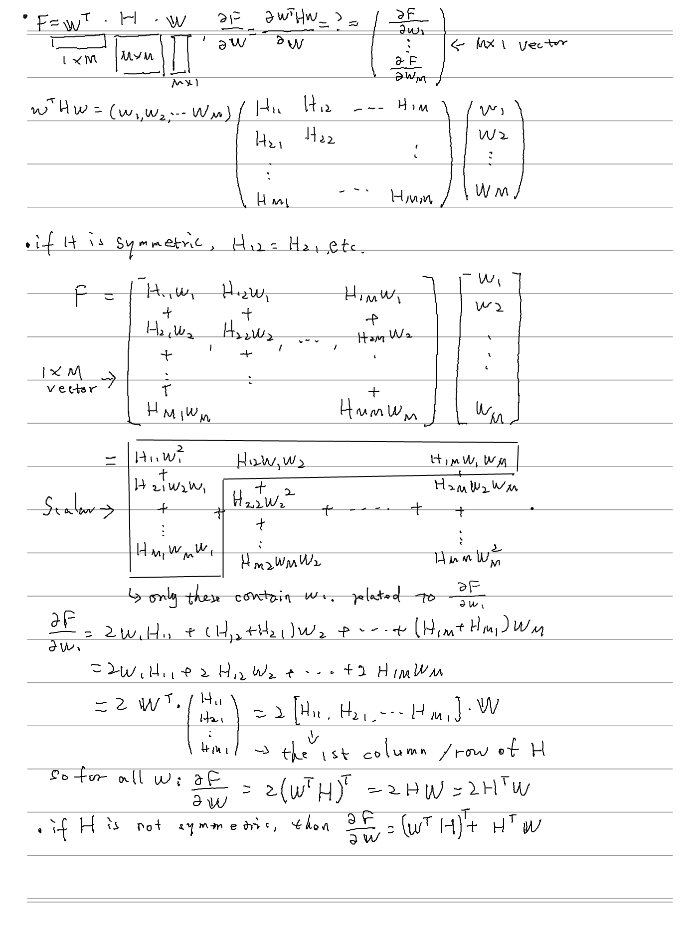
How to calculate the derivative of a matrix multiplication such as WHW

Calculating derivatives are key to training AI neural networks, being part of a backpropagation step. The mathematical details of how to calculate the derivative of a matrix multiplication is not very clear. For example, if we have a \(MX1\) weight vector \(W\) and a \(MXM\) matrix \(H\), we can calculate the derivative of \(W^THW\) as follows:




Enjoy Reading This Article?

Here are some more articles you might like to read next:

  • AI赋能肿瘤基因诊断!黄宇博士深度解析:技术创新如何破解临床痛点 - 中国抗癌协会TBM医研企座谈会
  • Bayesian p-value/贝叶斯p-value
  • 贝叶斯统计 Statistical Rethinking v2 in Julia 讲解视频
  • 7 Julia correctness issues are now fixed.
  • Logit or Logistic Regression/回归?